 
	
	 
	The Duality of Time Theory, that results from the Single Monad Model of the Cosmos, explains how physical multiplicity is emerging from absolute (metaphysical) Oneness, at every instance of our normal time! This leads to the Ultimate Symmetry of space and its dynamic formation and breaking into the physical and psychical (supersymmetrical) creations, in orthogonal time directions. General Relativity and Quantum Mechanics are complementary consequences of the Duality of Time Theory, and all the fundamental interactions become properties of the new granular complex-time geometry, at different dimensions. - => Conference Talk - Another Conference [Detailed Presentation]
 
Complex-Time Geometry and Perpetual Creation of Space
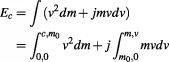
In the same manner as in the above geometrical representation of time, velocity and momentum in Figures 5.1, 5.3 and 5.5, that are based on the complex-time frame, we can now give more dimensionality to energy, that is already hinted in the current formulation of special and General Relativity, for example through the relativistic energy-momentum equation 5.15 and the experimental fact that the cosmological constant is positive.
Since it is intimately related to time, energy has to have complex, and even multiple intersecting dimensions in accordance with the dimensions of space and matter which are generated in the inner levels of time before they evolve throughout the outer level. We must notice straightforward, however, that not all these levels of energy are associated with mass which is only a property of space. In lower dimensions, energy should rather be associated with the corresponding coupling property, such as the electric charge. Therefore, it is expected that negative mass is only possible in
space. In lower dimensions, energy should rather be associated with the corresponding coupling property, such as the electric charge. Therefore, it is expected that negative mass is only possible in spatial dimensions, as it has been already anticipated before Petit and D’Agostini (2014).
spatial dimensions, as it has been already anticipated before Petit and D’Agostini (2014).
It is clear initially that, just like time, velocity and momentum that were discussed above, when we take the complex nature of time into account, the kinetic energy in equation 5.11, or
in equation 5.11, or in the relativistic energy-momentum equation 5.15, becomes negative with relation to the potential energy
in the relativistic energy-momentum equation 5.15, becomes negative with relation to the potential energy stored in mass
stored in mass .
.
Therefore the energy in equation 5.13 becomes complex
in equation 5.13 becomes complex with real
with real and imaginary
and imaginary parts. The real part
parts. The real part represents re-creation through the change in mass
represents re-creation through the change in mass , and the imaginary part
, and the imaginary part represents the evolution of this mass in the outer time through the change in the apparent velocity
represents the evolution of this mass in the outer time through the change in the apparent velocity :
:
 (5.30)
(5.30)  
The real part is and the imaginary part is
and the imaginary part is , thus we get:
, thus we get:
 (5.31)
(5.31)  

Figure 5.6: The complex energy is obtained by the combination of the real energy , that corresponds to the re-creation of space and matter in the inner level of time, which then evolve in the outer time, thus the normal kinetic energy becomes imaginary
, that corresponds to the re-creation of space and matter in the inner level of time, which then evolve in the outer time, thus the normal kinetic energy becomes imaginary or latent with relation to
or latent with relation to .
.
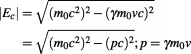
This negative contribution of the kinetic energy, however, does not falsify the current equations 5.11 and 5.15, but it means that the potential energy and the kinetic energy are in different levels of time and the conversion of potential energy into kinetic energy is like the conversion from the inner time into the outer time, so when they are in the outer time they are added together as in the previous equations because they become both in the outer level of time.
Again, just as it is the case with the absolute conservation of momentum that we have seen in section 3.5 above, energy is also always conserved, even when the apparent velocity changes, since the instantaneous velocity
changes, since the instantaneous velocity in the outer level of time is always zero as we have seen in section 2 and Figure 5.1 above. As it is the case for momentum, this absolute conservation of energy is conceivable because it means that as the velocity changes, the change in kinetic energy
in the outer level of time is always zero as we have seen in section 2 and Figure 5.1 above. As it is the case for momentum, this absolute conservation of energy is conceivable because it means that as the velocity changes, the change in kinetic energy (that is the imaginary part) is compensated by the change in the effective mass:
(that is the imaginary part) is compensated by the change in the effective mass: due to motion, which causes the real part of energy
due to motion, which causes the real part of energy also to change accordingly, but since
also to change accordingly, but since is hyperbolic, thus its modulus
is hyperbolic, thus its modulus remains invariant between all frames. This means that:
remains invariant between all frames. This means that:
 (5.32)
(5.32)  
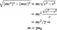
This equation provides an additional method to derive the mass-energy equivalence, because the left side in this equation can be reduced to :
:
 (5.33)
(5.33)  
So when we combine the two equations: 5.32 and 5.33, we get the effective mass relation: that is equivalent to
that is equivalent to as we have seen above and in section 3.3.8.
as we have seen above and in section 3.3.8.
|  |  | 
... os and Duality of Time Theory, authored by Mohamed Haj Yousef, in addition to some other related books about the Islamic concept of time and its implications on modern physics and cosmology. ...
... os and Duality of Time Theory, authored by Mohamed Haj Yousef, in addition to some other related books about the Islamic concept of time and its implications on modern physics and cosmology. ...
... t the Islamic concept of time and its implications on modern physics and cosmology. ...
... hored by Mohamed Haj Yousef, in addition to some other related books about the Islamic concept of time and its implications on modern physics and cosmology. ...
... ion to some other related books about the Islamic concept of time and its implications on modern physics and cosmology. ...
... os and Duality of Time Theory, authored by Mohamed Haj Yousef, in addition to some other related books about the Islamic concept of time and its implications on modern physics and cosmology. ...
... f the Cosmos and Duality of Time Theory, authored by Mohamed Haj Yousef, in addition to some other related books about the Islamic concept of time and its implications on modern physics and cosmology. ...
... other related books about the Islamic concept of time and its implications on modern physics and cosmology. ...
... os and Duality of Time Theory, authored by Mohamed Haj Yousef, in addition to some other related books about the Islamic concept of time and its implications on modern physics and cosmology. ...
... os and Duality of Time Theory, authored by Mohamed Haj Yousef, in addition to some other related books about the Islamic concept of time and its implications on modern physics and cosmology. ...
... os and Duality of Time Theory, authored by Mohamed Haj Yousef, in addition to some other related books about the Islamic concept of time and its implications on modern physics and cosmology. ...
... os and Duality of Time Theory, authored by Mohamed Haj Yousef, in addition to some other related books about the Islamic concept of time and its implications on modern physics and cosmology. ...
... os and Duality of Time Theory, authored by Mohamed Haj Yousef, in addition to some other related books about the Islamic concept of time and its implications on modern physics and cosmology. ...
... os and Duality of Time Theory, authored by Mohamed Haj Yousef, in addition to some other related books about the Islamic concept of time and its implications on modern physics and cosmology. ...
... os and Duality of Time Theory, authored by Mohamed Haj Yousef, in addition to some other related books about the Islamic concept of time and its implications on modern physics and cosmology. ...
... os and Duality of Time Theory, authored by Mohamed Haj Yousef, in addition to some other related books about the Islamic concept of time and its implications on modern physics and cosmology. ...
... os and Duality of Time Theory, authored by Mohamed Haj Yousef, in addition to some other related books about the Islamic concept of time and its implications on modern physics and cosmology. ...
 The science of Time is a noble science, that reveals the secret of Eternity. Only the Elites of Sages may ever come to know this secret. It is called the First Age, or the Age of ages, from which time is emerging.
The science of Time is a noble science, that reveals the secret of Eternity. Only the Elites of Sages may ever come to know this secret. It is called the First Age, or the Age of ages, from which time is emerging.
 
 
 
 
 I have no doubt that this is the most significant discovery in the history of mathematics, physics and philosophy, ever!
I have no doubt that this is the most significant discovery in the history of mathematics, physics and philosophy, ever!
By revealing the mystery of the connection between discreteness and contintuity, this novel understanding of the complex (time-time) geometry, will cause a paradigm shift in our knowledge of the fundamental nature of the cosmos and its corporeal and incorporeal structures.
Enjoy reading...
Mohamed Haj Yousef
Check this detailed video presentation on "Deriving the Principles of Special, General and Quantum Relativity Based on the Single Monad Model Cosmos and Duality of Time Theory".
Download the Book "DOT: The Duality of Time Postulate and Its Consequences on General Relativity and Quantum Mechanics" or: READ ONLINE .....>>>>
 My soul is from elsewhere, I'm sure of that, and I intend to end up there.
 My soul is from elsewhere, I'm sure of that, and I intend to end up there.  
