Islamic Calligraphy

DUALITY OF TIME:

Complex-Time Geometry and Perpetual Creation of Space

by Mohamed Haj Yousef



Search Inside this Book


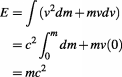
5.3.3.3  Method II (Generating Mass in the Inner Time)


We can also arrive to the mass-energy equivalence relation directly from the starting equation 5.7 in an alternative manner if we consider a sudden decoupling, or disentanglement, of the geometrical points that couple together in order to constitute the physical particle that appears in the outer level of time with inertial massmoving at an apparent (imaginary) velocity, so when these geometrical points are disentangled to remain at their real speed (of light), the massconverts back into energywhile the apparent velocity does not change, because this process is happening in the inward level of time which appears outwardly as instantaneous. Thus, if we putin equation 5.7 and integrate over mass fromto zero (where), or vice versa, we get:

(5.10)

Unlike the classical case in equation 5.8 where the change in speed occurs in the normal outward level of time, these simple derivations (in equations 5.9 and 5.10) would not have been possible without considering the inner levels of time, which appears outwardly as instantaneous.



  previous page

contents

next page  

Read Other Books:

Single Monad Model of the Cosmos
The Single Monad Model of the Cosmos: Ibn Arabi's View of Time and Creation
The Duality of Time Theory
The Duality of Time Theory: Complex-Time Geometry and Perpertual Creation of Space
The Duality of Time Theory
The Ultimate Symmetry: Fractal Complex-Time and Quantum Gravity
The Chest of Time
The Chest of Time: Particle-Wave Duality: from Time Confinement to Space Transcendence

Read this short concise exploration of the Duality of Time Postulate:

he Duality of Time Postulate
DoT: The Duality of Time Postulate and Its Consequences on General Relativity and Quantum Mechanics

Other Pages Related to Search Keywords:

  • ... Islamic Cosmology =>:

  • ... os and Duality of Time Theory, authored by Mohamed Haj Yousef, in addition to some other related books about the Islamic concept of time and its implications on modern physics and cosmology. ...


  • ... Ibn Al-Arabi =>:

  • ... os and Duality of Time Theory, authored by Mohamed Haj Yousef, in addition to some other related books about the Islamic concept of time and its implications on modern physics and cosmology. ...


  • ... Mohamed Haj Yousef =>:

  • ... t the Islamic concept of time and its implications on modern physics and cosmology. ...


  • ... Single Monad Model =>:

  • ... hored by Mohamed Haj Yousef, in addition to some other related books about the Islamic concept of time and its implications on modern physics and cosmology. ...


  • ... Duality Of Time =>:

  • ... ion to some other related books about the Islamic concept of time and its implications on modern physics and cosmology. ...


  • ... Ultimate Symmetry =>:

  • ... os and Duality of Time Theory, authored by Mohamed Haj Yousef, in addition to some other related books about the Islamic concept of time and its implications on modern physics and cosmology. ...


  • ... Cosmology =>:

  • ... f the Cosmos and Duality of Time Theory, authored by Mohamed Haj Yousef, in addition to some other related books about the Islamic concept of time and its implications on modern physics and cosmology. ...


  • ... Time =>:

  • ... other related books about the Islamic concept of time and its implications on modern physics and cosmology. ...


  • ... Space-Time =>:

  • ... os and Duality of Time Theory, authored by Mohamed Haj Yousef, in addition to some other related books about the Islamic concept of time and its implications on modern physics and cosmology. ...


  • ... Spacetime =>:

  • ... os and Duality of Time Theory, authored by Mohamed Haj Yousef, in addition to some other related books about the Islamic concept of time and its implications on modern physics and cosmology. ...


  • ... Special Relativity =>:

  • ... os and Duality of Time Theory, authored by Mohamed Haj Yousef, in addition to some other related books about the Islamic concept of time and its implications on modern physics and cosmology. ...


  • ... General Relativity =>:

  • ... os and Duality of Time Theory, authored by Mohamed Haj Yousef, in addition to some other related books about the Islamic concept of time and its implications on modern physics and cosmology. ...


  • ... Quantum Mechanics =>:

  • ... os and Duality of Time Theory, authored by Mohamed Haj Yousef, in addition to some other related books about the Islamic concept of time and its implications on modern physics and cosmology. ...


  • ... Quantum Field Theory =>:

  • ... os and Duality of Time Theory, authored by Mohamed Haj Yousef, in addition to some other related books about the Islamic concept of time and its implications on modern physics and cosmology. ...


  • ... Speed Of Light =>:

  • ... os and Duality of Time Theory, authored by Mohamed Haj Yousef, in addition to some other related books about the Islamic concept of time and its implications on modern physics and cosmology. ...


  • ... Symmetry =>:

  • ... os and Duality of Time Theory, authored by Mohamed Haj Yousef, in addition to some other related books about the Islamic concept of time and its implications on modern physics and cosmology. ...


  • ... Supersymmetry =>:

  • ... os and Duality of Time Theory, authored by Mohamed Haj Yousef, in addition to some other related books about the Islamic concept of time and its implications on modern physics and cosmology. ...


Welcome to the Single Monad Model of the Cosmos and Duality of Time Theory
Forgot Password? - [Register]

Message from the Author:

I have no doubt that this is the most significant discovery in the history of mathematics, physics and philosophy, ever!

By revealing the mystery of the connection between discreteness and contintuity, this novel understanding of the complex (time-time) geometry, will cause a paradigm shift in our knowledge of the fundamental nature of the cosmos and its corporeal and incorporeal structures.

Enjoy reading...

Mohamed Haj Yousef


Check this detailed video presentation on "Deriving the Principles of Special, General and Quantum Relativity Based on the Single Monad Model Cosmos and Duality of Time Theory".

Download the Book "DOT: The Duality of Time Postulate and Its Consequences on General Relativity and Quantum Mechanics" or: READ ONLINE .....>>>>



Subsribe to Newsletter:


Because He loves beauty, Allah invented the World with ultimate perfection, and since He is the All-Beautiful, He loved none but His own Essence. But He also liked to see Himself reflected outwardly, so He created (the entities of) the World according to the form of His own Beauty, and He looked at them, and He loved these confined forms. Hence, the Magnificent made the absolute beauty --routing in the whole World-- projected into confined beautiful patterns that may diverge in their relative degrees of brilliance and grace.
paraphrased from: Ibn al-Arabi [The Meccan Revelations: IV.269.18 - trans. Mohamed Haj Yousef]
quote