The Duality of Time Theory, that results from the Single Monad Model of the Cosmos, explains how physical multiplicity is emerging from absolute (metaphysical) Oneness, at every instance of our normal time! This leads to the Ultimate Symmetry of space and its dynamic formation and breaking into the physical and psychical (supersymmetrical) creations, in orthogonal time directions. General Relativity and Quantum Mechanics are complementary consequences of the Duality of Time Theory, and all the fundamental interactions become properties of the new granular complex-time geometry, at different dimensions. - => Conference Talk - Another Conference [Detailed Presentation]
Complex-Time Geometry and Perpetual Creation of Space
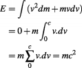
The mass-energy equivalence relation:
(without the “half”) can now be easily obtained from the same integration in equation 5.7 if, and only if, we suppose that the object, whose mass is
, moves from rest to
, or vice versa, in “zero time”, which of course will contradict the laws of physical motion because the acceleration would be infinite, and hence the force and the energy. Light does in fact behave in this manner, for example: in pair production, or when emitted or absorbed; but the photon is massless, unlike other particles and objects which have mass and suffer inertia and acceleration.
By introducing the Duality of Time and the resulting perpetual re-creation, this problem is solved because the conversion between mass and energy takes place sequentially, in the inward level, over all the massless geometrical points that constitute the particle, and this whole process appears as once instance in the outer level, as demonstrated in Figure 5.1.
So by integrating equation 5.7 directly from zero to
, which then becomes summation because it is an abrupt change, since the change in the outward time is zero, and here we consider
, since the apparent velocity does not change in this case, but we will also discuss relativistic mass in section 3.3.4 below; thus we get:
(5.9)
The difference between the above two cases that result in equations 5.8 and 5.9 is demonstrated in Figure 5.4, where in the first case the integration that gives the kinetic energy
is the area of the triangle below the gradual arrow (1), while in the second case it is the area of the rectangle below the right angle arrow (2).

Figure 5.4: Arrow 1: gradual change of speed in the outer level of time, leading to the classical equation of kinetic energy
. Arrow 2: abrupt change from zero to
in the inward level of time, leading to the mass-energy equivalence relation
, which can not happen on the normal level of time because physical objects may not move at the speed of light.
![]() |
![]() |
... os and Duality of Time Theory, authored by Mohamed Haj Yousef, in addition to some other related books about the Islamic concept of time and its implications on modern physics and cosmology. ...
... os and Duality of Time Theory, authored by Mohamed Haj Yousef, in addition to some other related books about the Islamic concept of time and its implications on modern physics and cosmology. ...
... t the Islamic concept of time and its implications on modern physics and cosmology. ...
... hored by Mohamed Haj Yousef, in addition to some other related books about the Islamic concept of time and its implications on modern physics and cosmology. ...
... ion to some other related books about the Islamic concept of time and its implications on modern physics and cosmology. ...
... os and Duality of Time Theory, authored by Mohamed Haj Yousef, in addition to some other related books about the Islamic concept of time and its implications on modern physics and cosmology. ...
... f the Cosmos and Duality of Time Theory, authored by Mohamed Haj Yousef, in addition to some other related books about the Islamic concept of time and its implications on modern physics and cosmology. ...
... other related books about the Islamic concept of time and its implications on modern physics and cosmology. ...
... os and Duality of Time Theory, authored by Mohamed Haj Yousef, in addition to some other related books about the Islamic concept of time and its implications on modern physics and cosmology. ...
... os and Duality of Time Theory, authored by Mohamed Haj Yousef, in addition to some other related books about the Islamic concept of time and its implications on modern physics and cosmology. ...
... os and Duality of Time Theory, authored by Mohamed Haj Yousef, in addition to some other related books about the Islamic concept of time and its implications on modern physics and cosmology. ...
... os and Duality of Time Theory, authored by Mohamed Haj Yousef, in addition to some other related books about the Islamic concept of time and its implications on modern physics and cosmology. ...
... os and Duality of Time Theory, authored by Mohamed Haj Yousef, in addition to some other related books about the Islamic concept of time and its implications on modern physics and cosmology. ...
... os and Duality of Time Theory, authored by Mohamed Haj Yousef, in addition to some other related books about the Islamic concept of time and its implications on modern physics and cosmology. ...
... os and Duality of Time Theory, authored by Mohamed Haj Yousef, in addition to some other related books about the Islamic concept of time and its implications on modern physics and cosmology. ...
... os and Duality of Time Theory, authored by Mohamed Haj Yousef, in addition to some other related books about the Islamic concept of time and its implications on modern physics and cosmology. ...
... os and Duality of Time Theory, authored by Mohamed Haj Yousef, in addition to some other related books about the Islamic concept of time and its implications on modern physics and cosmology. ...
I have no doubt that this is the most significant discovery in the history of mathematics, physics and philosophy, ever!
By revealing the mystery of the connection between discreteness and contintuity, this novel understanding of the complex (time-time) geometry, will cause a paradigm shift in our knowledge of the fundamental nature of the cosmos and its corporeal and incorporeal structures.![]()
Enjoy reading...
Mohamed Haj Yousef
Check this detailed video presentation on "Deriving the Principles of Special, General and Quantum Relativity Based on the Single Monad Model Cosmos and Duality of Time Theory".
Download the Book "DOT: The Duality of Time Postulate and Its Consequences on General Relativity and Quantum Mechanics" or: READ ONLINE .....>>>>