Islamic Calligraphy

DUALITY OF TIME:

Complex-Time Geometry and Perpetual Creation of Space

by Mohamed Haj Yousef



Search Inside this Book


5.3.4  Relativistic Energy-Momentum Relation


In addition to the previous two methods that derived the simple form of the mass-energy equivalence:in equations 5.9 and 5.10 above, the relativistic energy-momentum equation:can be derived according to the Duality of Time Postulate directly from the fundamental definition of momentum, as mass times velocity:.

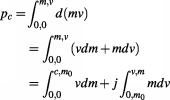
According to the Duality of Time Postulate, an object with mass, moving at a constant velocity, is continuously being re-created at the speed of lightin the inner time, before it appears as an instance in the imaginary outer timewhere its instantaneous velocity isbut the re-creation makes it appear to be moving at an average velocity. So in the inner time it behaves as a wave with instantaneous velocity, and in the outer time it behaves as a particle with effective massand instantaneous velocitywhile its apparent velocity is obtained by averaging these two instantaneous velocities over all its metaphysical points, as we described in section 3 above. Therefore, the real momentum in the inner time is, while the normal kinetic momentum, which is the imaginary part, is. Thus the total complex momentum is:, whose modulus is:.

This total momentum is obtained by integratingbetweenandon the inner level of time where the particle is created, or being re-created, at the speed of light, and this term makes the real part of the complex momentum. Then we integrate betweenandon the outer level of time where the particle whose mass isgains an apparent velocityand thus its effective mass increases fromto, and this term makes the imaginary part of the complex momentum:

(5.24)

The first term gives us the real momentum, while the second term gives the imaginary momentum. Thus:

(5.25)

Hence the modulus of this total complex momentum is:

(5.26)

Again we notice here that the contribution of the kinetic momentumis negative with relation to the real momentum, just like the case ofandas we have seen in sections 2.2 and 3.2, and as it will be also the case for energy as we shall see further below. These equations, with the negative sign, do not contradict the current equations, such as:which treat energy as scalar and do not realize its complex dimensions (see also section 3.6).

Practically, in any mass-energy interaction or conversion, the negative term will be converted to positive because when the potential energyis released, in nuclear interactions for example, this means that it has been converted from the inner level of time where it behaves like mass into the outer level to become kinetic energy. In other words: the absorption and emission of energy or radiation, nuclear interactions, or even the acceleration and deceleration of mass, are simply conversions between the inner and outer levels of time.

To obtain the relativistic energy (equations 5.12 or 5.15), we can work with equation 5.26, that gives the magnitude of the four-momentum, as it is usually treated in Special Relativity (see also section 3.3.8), i.e.:

(5.27)

Alternatively, we can simply add the inner rest energyto the outer (kinetic) relativistic energy, since they are treated as scalars, thus we get the same equation 5.12 which also leads to equation 5.15, as it is derived in section 3.3.8.

This derivation of the relativistic energy-momentum relation from the fundamental definition of momentumis based on the Duality of Time concept, by taking into account the complex nature of time, as hyperbolic numbers, which is why the contribution of the imaginary term appears here as negative in equation 5.27.

Therefore, when we take into account the complex nature of time as we described in sections 2.2 and 3.2 above (Figures: 5.1 and 5.3), energy and momentum will be also complex. This will introduce an essential modification on the relativistic energy-momentum equation which will lead to the derivation of the equivalence principle and allow energy to be imaginary, negative and multidimensional. This will be discussed further in the following sections 3.5 and 3.6.



  previous page

contents

next page  

Read Other Books:

Single Monad Model of the Cosmos
The Single Monad Model of the Cosmos: Ibn Arabi's View of Time and Creation
The Duality of Time Theory
The Duality of Time Theory: Complex-Time Geometry and Perpertual Creation of Space
The Duality of Time Theory
The Ultimate Symmetry: Fractal Complex-Time and Quantum Gravity
The Chest of Time
The Chest of Time: Particle-Wave Duality: from Time Confinement to Space Transcendence

Read this short concise exploration of the Duality of Time Postulate:

he Duality of Time Postulate
DoT: The Duality of Time Postulate and Its Consequences on General Relativity and Quantum Mechanics

Other Pages Related to Search Keywords:

  • ... Islamic Cosmology =>:

  • ... os and Duality of Time Theory, authored by Mohamed Haj Yousef, in addition to some other related books about the Islamic concept of time and its implications on modern physics and cosmology. ...


  • ... Ibn Al-Arabi =>:

  • ... os and Duality of Time Theory, authored by Mohamed Haj Yousef, in addition to some other related books about the Islamic concept of time and its implications on modern physics and cosmology. ...


  • ... Mohamed Haj Yousef =>:

  • ... t the Islamic concept of time and its implications on modern physics and cosmology. ...


  • ... Single Monad Model =>:

  • ... hored by Mohamed Haj Yousef, in addition to some other related books about the Islamic concept of time and its implications on modern physics and cosmology. ...


  • ... Duality Of Time =>:

  • ... ion to some other related books about the Islamic concept of time and its implications on modern physics and cosmology. ...


  • ... Ultimate Symmetry =>:

  • ... os and Duality of Time Theory, authored by Mohamed Haj Yousef, in addition to some other related books about the Islamic concept of time and its implications on modern physics and cosmology. ...


  • ... Cosmology =>:

  • ... f the Cosmos and Duality of Time Theory, authored by Mohamed Haj Yousef, in addition to some other related books about the Islamic concept of time and its implications on modern physics and cosmology. ...


  • ... Time =>:

  • ... other related books about the Islamic concept of time and its implications on modern physics and cosmology. ...


  • ... Space-Time =>:

  • ... os and Duality of Time Theory, authored by Mohamed Haj Yousef, in addition to some other related books about the Islamic concept of time and its implications on modern physics and cosmology. ...


  • ... Spacetime =>:

  • ... os and Duality of Time Theory, authored by Mohamed Haj Yousef, in addition to some other related books about the Islamic concept of time and its implications on modern physics and cosmology. ...


  • ... Special Relativity =>:

  • ... os and Duality of Time Theory, authored by Mohamed Haj Yousef, in addition to some other related books about the Islamic concept of time and its implications on modern physics and cosmology. ...


  • ... General Relativity =>:

  • ... os and Duality of Time Theory, authored by Mohamed Haj Yousef, in addition to some other related books about the Islamic concept of time and its implications on modern physics and cosmology. ...


  • ... Quantum Mechanics =>:

  • ... os and Duality of Time Theory, authored by Mohamed Haj Yousef, in addition to some other related books about the Islamic concept of time and its implications on modern physics and cosmology. ...


  • ... Quantum Field Theory =>:

  • ... os and Duality of Time Theory, authored by Mohamed Haj Yousef, in addition to some other related books about the Islamic concept of time and its implications on modern physics and cosmology. ...


  • ... Speed Of Light =>:

  • ... os and Duality of Time Theory, authored by Mohamed Haj Yousef, in addition to some other related books about the Islamic concept of time and its implications on modern physics and cosmology. ...


  • ... Symmetry =>:

  • ... os and Duality of Time Theory, authored by Mohamed Haj Yousef, in addition to some other related books about the Islamic concept of time and its implications on modern physics and cosmology. ...


  • ... Supersymmetry =>:

  • ... os and Duality of Time Theory, authored by Mohamed Haj Yousef, in addition to some other related books about the Islamic concept of time and its implications on modern physics and cosmology. ...


Welcome to the Single Monad Model of the Cosmos and Duality of Time Theory
Forgot Password? - [Register]

Message from the Author:

I have no doubt that this is the most significant discovery in the history of mathematics, physics and philosophy, ever!

By revealing the mystery of the connection between discreteness and contintuity, this novel understanding of the complex (time-time) geometry, will cause a paradigm shift in our knowledge of the fundamental nature of the cosmos and its corporeal and incorporeal structures.

Enjoy reading...

Mohamed Haj Yousef


Check this detailed video presentation on "Deriving the Principles of Special, General and Quantum Relativity Based on the Single Monad Model Cosmos and Duality of Time Theory".

Download the Book "DOT: The Duality of Time Postulate and Its Consequences on General Relativity and Quantum Mechanics" or: READ ONLINE .....>>>>



Subsribe to Newsletter:


Because He loves beauty, Allah invented the World with ultimate perfection, and since He is the All-Beautiful, He loved none but His own Essence. But He also liked to see Himself reflected outwardly, so He created (the entities of) the World according to the form of His own Beauty, and He looked at them, and He loved these confined forms. Hence, the Magnificent made the absolute beauty --routing in the whole World-- projected into confined beautiful patterns that may diverge in their relative degrees of brilliance and grace.
paraphrased from: Ibn al-Arabi [The Meccan Revelations: IV.269.18 - trans. Mohamed Haj Yousef]
quote