Islamic Calligraphy

DUALITY OF TIME:

Complex-Time Geometry and Perpetual Creation of Space

by Mohamed Haj Yousef



Search Inside this Book


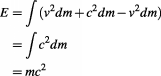
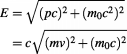
5.3.3.8  Relativistic Mass


To derive the relation of the effective relativistic mass, we can start from equation 5.6 above:

(5.16)

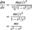
Now we can findby differentiating:

(5.17)

From this equation we find:

(5.18)

Replacing in equation 5.16 we get:

(5.19)

This method, however, can not be considered a mathematical validation of the mass-energy equivalence relation, because the starting equationis not derived by any other fundamental method from Relativity, other than being similar to the time dilation and length contraction:,.

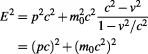
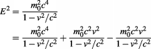
Using the same equationwith; thus:, we can also derive the relativistic energy-momentum relation, by squaring and doing some modifications:

(5.20)

From this equation we get:

(5.21)

Thus:

(5.22)

Or:

(5.23)

Again, since this derivation relies originally on the equation:, it can not be considered a mathematical validation of the mass-energy equivalence relation.



  previous page

contents

next page  

Read Other Books:

Single Monad Model of the Cosmos
The Single Monad Model of the Cosmos: Ibn Arabi's View of Time and Creation
The Duality of Time Theory
The Duality of Time Theory: Complex-Time Geometry and Perpertual Creation of Space
The Duality of Time Theory
The Ultimate Symmetry: Fractal Complex-Time and Quantum Gravity
The Chest of Time
The Chest of Time: Particle-Wave Duality: from Time Confinement to Space Transcendence

Read this short concise exploration of the Duality of Time Postulate:

he Duality of Time Postulate
DoT: The Duality of Time Postulate and Its Consequences on General Relativity and Quantum Mechanics

Other Pages Related to Search Keywords:

  • ... Islamic Cosmology =>:

  • ... os and Duality of Time Theory, authored by Mohamed Haj Yousef, in addition to some other related books about the Islamic concept of time and its implications on modern physics and cosmology. ...


  • ... Ibn Al-Arabi =>:

  • ... os and Duality of Time Theory, authored by Mohamed Haj Yousef, in addition to some other related books about the Islamic concept of time and its implications on modern physics and cosmology. ...


  • ... Mohamed Haj Yousef =>:

  • ... t the Islamic concept of time and its implications on modern physics and cosmology. ...


  • ... Single Monad Model =>:

  • ... hored by Mohamed Haj Yousef, in addition to some other related books about the Islamic concept of time and its implications on modern physics and cosmology. ...


  • ... Duality Of Time =>:

  • ... ion to some other related books about the Islamic concept of time and its implications on modern physics and cosmology. ...


  • ... Ultimate Symmetry =>:

  • ... os and Duality of Time Theory, authored by Mohamed Haj Yousef, in addition to some other related books about the Islamic concept of time and its implications on modern physics and cosmology. ...


  • ... Cosmology =>:

  • ... f the Cosmos and Duality of Time Theory, authored by Mohamed Haj Yousef, in addition to some other related books about the Islamic concept of time and its implications on modern physics and cosmology. ...


  • ... Time =>:

  • ... other related books about the Islamic concept of time and its implications on modern physics and cosmology. ...


  • ... Space-Time =>:

  • ... os and Duality of Time Theory, authored by Mohamed Haj Yousef, in addition to some other related books about the Islamic concept of time and its implications on modern physics and cosmology. ...


  • ... Spacetime =>:

  • ... os and Duality of Time Theory, authored by Mohamed Haj Yousef, in addition to some other related books about the Islamic concept of time and its implications on modern physics and cosmology. ...


  • ... Special Relativity =>:

  • ... os and Duality of Time Theory, authored by Mohamed Haj Yousef, in addition to some other related books about the Islamic concept of time and its implications on modern physics and cosmology. ...


  • ... General Relativity =>:

  • ... os and Duality of Time Theory, authored by Mohamed Haj Yousef, in addition to some other related books about the Islamic concept of time and its implications on modern physics and cosmology. ...


  • ... Quantum Mechanics =>:

  • ... os and Duality of Time Theory, authored by Mohamed Haj Yousef, in addition to some other related books about the Islamic concept of time and its implications on modern physics and cosmology. ...


  • ... Quantum Field Theory =>:

  • ... os and Duality of Time Theory, authored by Mohamed Haj Yousef, in addition to some other related books about the Islamic concept of time and its implications on modern physics and cosmology. ...


  • ... Speed Of Light =>:

  • ... os and Duality of Time Theory, authored by Mohamed Haj Yousef, in addition to some other related books about the Islamic concept of time and its implications on modern physics and cosmology. ...


  • ... Symmetry =>:

  • ... os and Duality of Time Theory, authored by Mohamed Haj Yousef, in addition to some other related books about the Islamic concept of time and its implications on modern physics and cosmology. ...


  • ... Supersymmetry =>:

  • ... os and Duality of Time Theory, authored by Mohamed Haj Yousef, in addition to some other related books about the Islamic concept of time and its implications on modern physics and cosmology. ...


Welcome to the Single Monad Model of the Cosmos and Duality of Time Theory
Forgot Password? - [Register]

Message from the Author:

I have no doubt that this is the most significant discovery in the history of mathematics, physics and philosophy, ever!

By revealing the mystery of the connection between discreteness and contintuity, this novel understanding of the complex (time-time) geometry, will cause a paradigm shift in our knowledge of the fundamental nature of the cosmos and its corporeal and incorporeal structures.

Enjoy reading...

Mohamed Haj Yousef


Check this detailed video presentation on "Deriving the Principles of Special, General and Quantum Relativity Based on the Single Monad Model Cosmos and Duality of Time Theory".

Download the Book "DOT: The Duality of Time Postulate and Its Consequences on General Relativity and Quantum Mechanics" or: READ ONLINE .....>>>>



Subsribe to Newsletter:


Because He loves beauty, Allah invented the World with ultimate perfection, and since He is the All-Beautiful, He loved none but His own Essence. But He also liked to see Himself reflected outwardly, so He created (the entities of) the World according to the form of His own Beauty, and He looked at them, and He loved these confined forms. Hence, the Magnificent made the absolute beauty --routing in the whole World-- projected into confined beautiful patterns that may diverge in their relative degrees of brilliance and grace.
paraphrased from: Ibn al-Arabi [The Meccan Revelations: IV.269.18 - trans. Mohamed Haj Yousef]
quote